小学数学奥林匹克模拟试卷(19)(2)
参考答案:
一、填空题:
1.10

2.47
要使最小的两位数尽可能小,最好十位是1,个位是2,此时四个数的个位之和应等于20,可找到这样的四个数2、5、6、7.在余下的数3、4中取4,可组成最大的两位数47.
3.16
如果小红和小明都戴眼镜或都不戴眼镜,那么他们看到的戴眼镜的比例应当相同,由于小明看到的戴眼镜的比例高,所以小红戴眼镜,小明不戴眼镜,因此总人数为

4.24
(92-90)×18÷(90-88.5)=24(人)
5.6

六个。
6.919974,619971,219978
是3的倍数,因此a+b=1,4,7,10,13,16.
(a+9+7)-(1+9+b)
是11的倍数,因此a-b=5或b-a=6.
因为a、b是整数,所以a+b与a-b同奇同偶,经试验,可找到以下三组解:

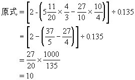
7.51.2
作辅助线,在黄色纸片中截出面积为a的部分,如图所示。

所以
设空白部分面积为x,将上图转化为




正方形盒子的面积为
12+20+12+7.2=51.2
8.126
因为棋子数是200多,且是一个平方数,所以行数n可能是15,16,17.
若n=15,15×15=225,即共有225枚棋子。由于是甲先取10枚,乙再取10枚,因此第225枚棋子被甲取走,不合题意。
若n=16,16×16=256,即共有256枚棋子,根据规则可知,第256枚被乙取走。
若n=17,17×17=289,即共有289枚棋子。根据规则可知,第289枚被甲取走,不合题意。
所以满足条件的棋子数是256枚,乙共取走260÷2-4=126(枚)
9.35,51
因为15606=2×3×3×3×17×17,且船长
是50多岁,所以有2×3×3×3=54和3×
51两种情况。若船长54岁,则男女工作人员各
17名,不合题意,所以船长只能是51岁。
此时男女工作人员的乘积为2×3×3×17,
男女工作人员的人数分配有下面五种:(153,2),(102,3)(51,60),(34,9),(18,17)。根据工作人员共有30多名和男多女少的条件可知,
男有18人,女有17名满足。所以工作人员共有
35名。

因为无论是迎面来的车,还是后面追来的车,两车之间的距离总是一样的。所以设车速为x,有

两车之间的距离为

发车的时间间隔为

二、解答题:
1.
原式=a(b-c)+b(c-a)+c(a-b)
2.73天
分类按月计算
1月、2月、10月分别有5天;
3月、4月、6月分别有10天;
5月、8月分别有11天;
12月有6天;
7月、9月没有。
5×3+10×3+11×
3.9.28分。10名
设裁判员有x名,那么
(1)总分为9.64x;
(2)去掉最高分后的总分为9.60(x-1),由此可知最高分为:
9.64x-9.60(x-1)
(3)去掉最低分后的总分为9.68(x-1),由此可知最低分为:
9.64x-9.68(x-1)
因为最高分不超过10,所以0.04x+9.6不超过10,也就是0.04x不超过0.4,由此可知x不超过10.当x取10时,最低分有最小值,是
9.68-0.04×10=9.28(分)
所以最低分是9.28分,裁判员有10名
4.1至10题的正确答案是×、×、√、√、√、√、√、×、√、×
观察A与B的答案可知,A、B有4道题答案相同,6道题答案不同。因为每人都是70分,所以4道答案相同的题都答对了,6道答案不同的题各对了3道。由此可知第1、3、4、10题的答案分别是×、√、√、×。
同理,B、C有4题答案相同,根据每人都是70分,所以4道答案相同的题都答对了,即第2、3、5、7题的答案分别是×、√、√、√。
同理,A、C也有4题答案相同,这4道题都答对了,即第3、6、8、9题的答案分别是√、√、×、√。
由此可知,1至10题的答案分别是×、×、√、√、√、√、√、×、√、×。

