Image Modal

天津
天津奥数网

天津站
奥数网

2018天津六年级数学每日一题(九十一)

网络资源 2018-08-31 14:07:32

 2018天津六年级数学每日一题(九十一)



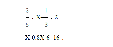
  【习题】



  【答案请看下一页】

首页 上一页 下一页 尾页
温馨提示:福利来咯!距离数学拿高分,你和孩子只差这一步!→领取福利

相关推荐

点击查看更多
重点初中
首页 导航