2015沈阳小升初数学计算模块必考技巧(二)
沈阳奥数网
2015-03-16 16:58:47
2015年沈阳小升初即将来临,针对小升初数学复习中的常见问题,沈阳教研中心小学组推出了奥数各大模块专题辅导,以下为计算模块必考技巧(二)。
今天给大家带来计算模块必考技巧——通项归纳,无论是在小升初考试中还是少儿班的选拔中,各个学校对于学生找规律以及总结归纳能力一直十分看重,在这里为大家总结下通项归纳技巧在有规律式子中的万能之处。大家敬请关注学而思小学教研部接下来的奥数各个模块的系列专题贴。
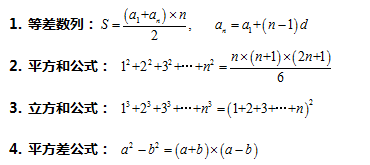
通项归纳之前你必须要掌握的公式:

除此之外,我们要寻找数列内部的关系,也就是项数n与第n项之间的关系,例如:数列1,3,5,7,9……,根据等差数列求末项的公式,公差为2,第n项=1+(n-1)×2=2n-1;数列2,5,8,11……,第n项为2+(n-1)×3=3n-1,找到这些后,我们可以对一些相对复杂的式子进行通项归纳。



