Image Modal

苏州
苏州奥数网

苏州站
奥数网

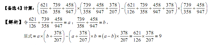
2018苏州小学六年级奥数:分数的速算与巧算-月测备选2

家长帮论坛 2018-01-28 23:39:21

2018苏州小学六年级奥数:分数的速算与巧算-月测备选2

温馨提示:福利来咯!距离数学拿高分,你和孩子只差这一步!→领取福利

相关推荐

点击查看更多
重点初中
首页 导航