Image Modal

苏州
苏州奥数网

苏州站
奥数网

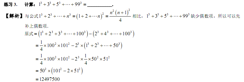
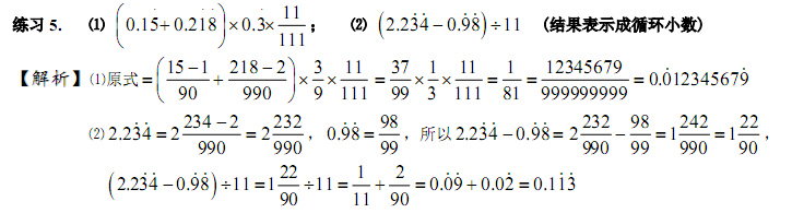
2018苏州小学六年级奥数:分数的速算与巧算-课后练习2

家长帮论坛 2018-01-28 23:33:48

2018苏州小学六年级奥数:分数的速算与巧算-课后练习2

相关推荐

点击查看更多
重点初中
首页 导航