Image Modal

苏州
苏州奥数网

苏州站
奥数网

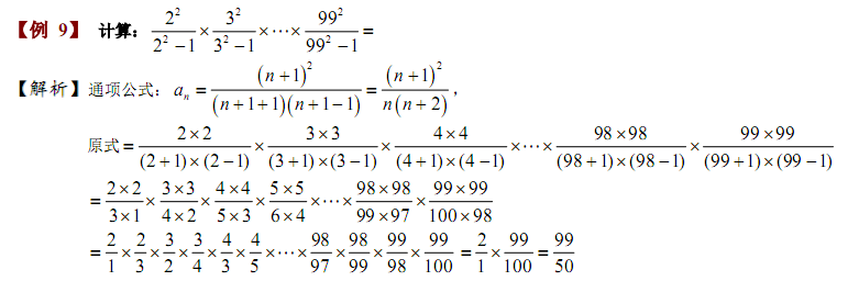
2018苏州小学六年级奥数:分数的速算与巧算-分数裂项8

家长帮论坛 2018-01-27 22:34:30

2018苏州小学六年级奥数:分数的速算与巧算-分数裂项8

温馨提示:福利来咯!距离数学拿高分,你和孩子只差这一步!→领取福利

相关推荐

点击查看更多
重点初中
首页 导航