Image Modal

苏州
苏州奥数网

苏州站
奥数网

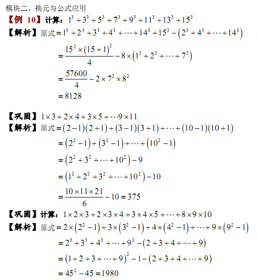
2018苏州小学六年级奥数:分数的速算与巧算-换元与公式应用1

家长帮论坛 2018-01-27 17:41:45

2018苏州小学六年级奥数:分数的速算与巧算-换元与公式应用1

相关推荐

点击查看更多
重点初中
首页 导航