Image Modal

苏州
苏州奥数网

苏州站
奥数网

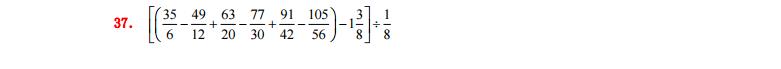
2018小升初学习资料:计算练习题及解析37

苏州家长帮 2017-10-16 22:15:50

温馨提示:福利来咯!距离数学拿高分,你和孩子只差这一步!→领取福利

相关推荐

点击查看更多
重点初中
首页 导航