Image Modal

苏州
苏州奥数网

苏州站
奥数网

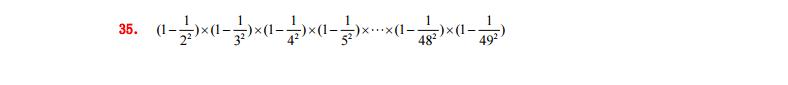
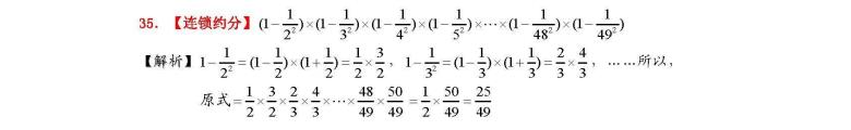
2018小升初学习资料:计算练习题及解析35

苏州家长帮 2017-10-16 22:14:15

相关推荐

点击查看更多
重点初中
首页 导航