Image Modal

石家庄
石家庄奥数网

石家庄站
奥数网

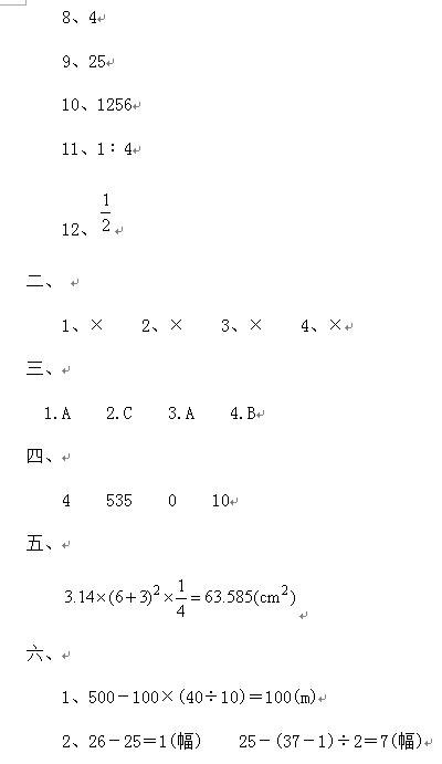
备战小升初:石家庄数学模拟试卷及答案(5)

石家庄奥数网整理 2012-02-13 10:38:34

首页 上一页 下一页 尾页
温馨提示:福利来咯!距离数学拿高分,你和孩子只差这一步!→领取福利

相关推荐

点击查看更多
重点初中
首页 导航