Image Modal

上海
上海奥数网

上海站
奥数网

上海六年级数学天天练试题及答案2018.3.19(2)

网络资源 2018-09-20 10:52:25


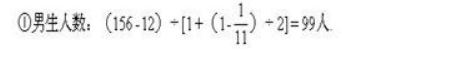
  【答案】

首页 上一页 下一页 尾页
温馨提示:福利来咯!距离数学拿高分,你和孩子只差这一步!→领取福利

相关推荐

点击查看更多
重点初中
首页 导航