Image Modal

上海
上海奥数网

上海站
奥数网

2018上海六年级数学练习题及答案(二十九)(2)

网络资源 2018-09-04 16:15:17


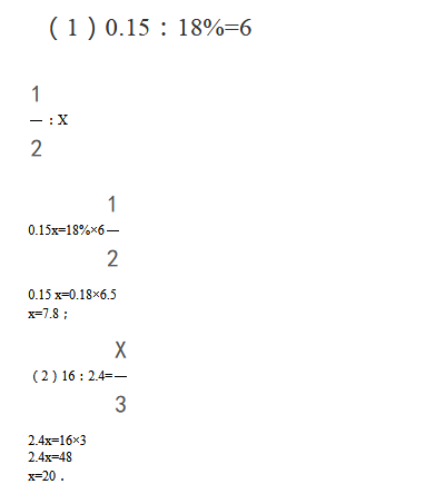
  【答案】




 

首页 上一页 下一页 尾页
温馨提示:福利来咯!距离数学拿高分,你和孩子只差这一步!→领取福利

相关推荐

点击查看更多
重点初中
首页 导航