Image Modal

上海
上海奥数网

上海站
奥数网

2018上海六年级数学每日一练(十八)(2)

网络资源 2018-07-20 16:35:46


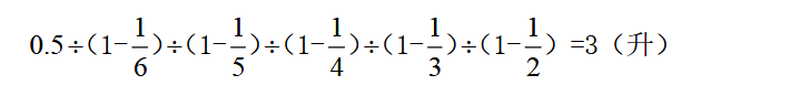
  【答案】



 

首页 上一页 下一页 尾页

相关推荐

点击查看更多
重点初中
首页 导航