Image Modal

上海
上海奥数网

上海站
奥数网

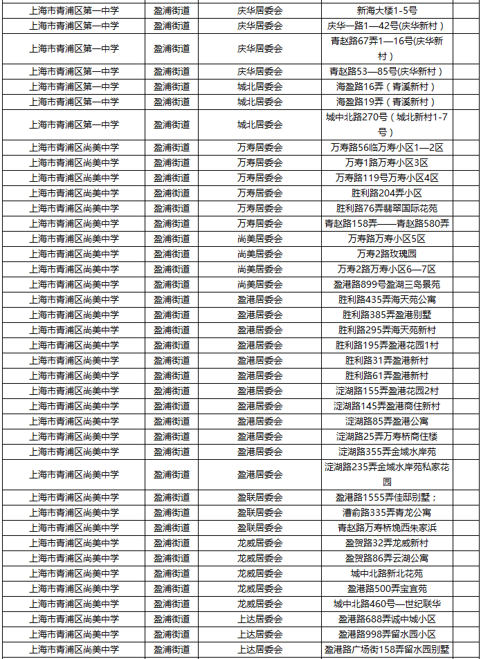
2017年上海青浦区小升初初中学区划分范围(5)

家长帮社区上海站 2017-03-21 13:17:42

2017上海青浦区初中学区

首页 上一页 下一页 尾页
温馨提示:福利来咯!距离数学拿高分,你和孩子只差这一步!→领取福利

相关推荐

点击查看更多
重点初中
首页 导航