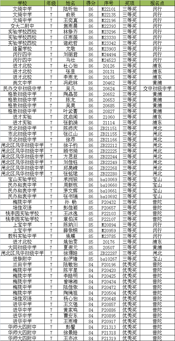
2012年通讯杯英语听力七年级获奖名单(5) 上海市青少年科技教育网 2012-06-08 13:30:03 >> 编辑推荐 2012年通讯杯上海市中小学生英语听力活动成绩册及相关事宜 2012年通讯杯上海市中小学生英语听力活动中学组考卷(附答案) 2012年通讯杯上海市中小学生英语听力活动小学组考卷(附答案) 首页 上一页 下一页 尾页
温馨提示:福利来咯!距离数学拿高分,你和孩子只差这一步!→领取福利 相关推荐 小学全科辅导必备宝典【学而思培优APP】小学1-6年级作文素材大全全国小学升初中语数英三科试题汇总小学1-6年级数学天天练小学1-6年级奥数类型例题讲解整理汇总小学1-6年级奥数练习题整理汇总小学1-6年级奥数知识点汇总小学1-6年级语数英教案汇总小学语数英试题资料大全小学1-6年级语数英期末试题整理汇总小学1-6年级语数英期中试题整理汇总小学1-6年级语数英期中试题整理汇总 点击查看更多