Image Modal

青岛
青岛奥数网

青岛站
奥数网

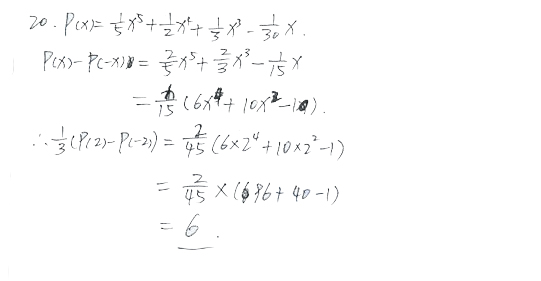
2012年希望杯二试七年级组真题答案(2)

青岛奥数网整理 2012-04-10 09:56:17

 

首页 上一页 下一页 尾页
温馨提示:福利来咯!距离数学拿高分,你和孩子只差这一步!→领取福利

相关推荐

点击查看更多
重点初中
首页 导航