2011年11月17日济南小升初天天练
济南e度论坛
2012-04-09 17:42:58
2011年11月17日济南小升初天天练
济南小升初天天练栏目每日精选一道题,名师指导讲解,为你升学把脉。
·本周试题由济南奥数名师精选、解析,以保证试题质量。
·每周末,我们将一周试题汇总为word版本试卷,您可下载打印。
·每道题的答题时间不应超过15分钟。答案次日公布!
11月17日小升初语文天天练
从下列词语中选择3个各造一个句子。
专心致志 无缘无故 震耳欲聋 张灯结彩 恍然大悟 闻所未闻
造句:(1)、 :
造句:(2)、 :
造句:(3)、 :
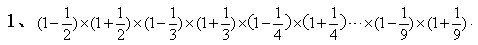
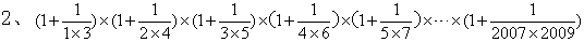
11月17日小升初奥数天天练
难度:★★
分数简算


11月17日小升初英语天天练
读一读,用所给单词的正确形式填空
1.I _____ (go) to school by bike.
2.What _____(do) he do on Sundays.
3.You _____ (can)get there on foot.
4.When are you going to _____ (swim)?
5.We _____ (have)lunch at 12:00.
6.He must _____(wait)here.
7.My father_____ (like)Chinese.
8.He _____ (drive)a car.

