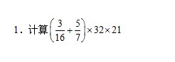
小升初奥数题检测二
济南奥数网整理
2011-07-26 15:53:19
小升初奥数题检测二

2.一元硬币围着另一元硬币滚一圈转了多少度?
3.四对夫妇,分为四组进行围棋比赛,设A、B、C、D为男士,EFGH为女士,如果比赛的对战情况满足如下描述;B对E;A对C的妻子;F对G的丈夫;D对A的妻子;G对E的丈夫,那么B的妻子是_______。
4.甲、乙两人住在同一个地方,甲、乙骑车速度分别为米/分、米/分。乙从住处骑车到学校用时分钟,求甲从家到学校用时几分钟?

