2016年长沙小升初数学计算题知识点解读
长沙奥数网:小升初考试就要到啦,让我们一起看看计算题里的各种知识点和题型。首先,我们一起来看看计算中的各大知识点。
1、循环小数的计算
一个小视频,教你迅速认识循环小数。
视频地址:http://v.youku.com/v_show/id_XMTU4MzcwMDkwMA==.html
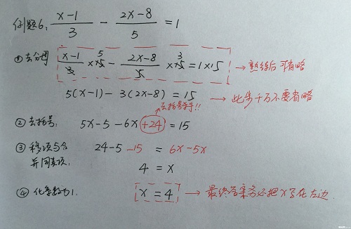
2、分数一元一次方程的求解
其实很简单,只要孩子能够把过程规范好!
1.去分母(同乘分母的最小公倍数)
2.去括号(运用乘法分配律,注意减号后面的括号去掉时要变号!!30%以上的孩子至今未解决这个问题!!!)
3.移项并合并同类项,保证字母在一边,数字在另一边。(注意不要跳步,以免孩子粗心出错。)
4.化系数为1,求出解来。(记得解一定把x写作左边,得数写在右边)


3、乘法分配律和提取公因数
知识点都会,就是易错。
要想提好公因数,一定要学会动笔前先观察算式,以下是考察提取公因数的常用方式:
1.最简单的障眼法是把一个数写成不同的形式,比如可以写成小数、假分数、带分数、百分数,从而隐藏了公因数,这就需要我们熟练这些形式之间的互化,还有一颗火眼金睛;
2.利用积不变的方式发掘公因数,比如某个数乘以37加上某个数乘以74,看似没有公因数,但是74等于2乘以37,因此某个数乘以74可以变成这个数的2倍再乘以37,从而出现了37这个公因数;
3.最隐蔽的一种,就是乘除互化,乘以1.2和除以5/6本质上其实是一样的,通过把除法化为乘法后即可出现公因数,因此拿到一个类似的问题,先把每一项都转化为乘法,再去寻找公因数会比较高效。

4、连锁约分和整体约分
约分是分数乘除法特有的巧算技巧点。能够把很多复杂不好计算的部分通过约分约去,从而达到简化计算的目的。要理解透这两种约分,只需把它们的起源找到就很简单了。下面我们借着《小升初100题》例题7来解读一下这个模块吧
视频地址:http://v.youku.com/v_show/id_XMTU4MzcwMTQ4OA==.html
5、换元
换元体现了“整体打包”这种经典的数学思想。这种用抽象的未知数来代表一个复杂的数或算式的思维方式对习惯了具体数的四则运算的小学生来说还是很有挑战的。《小升初100题》例题3是小升初中出现频率最高的一种换元题,它可以总结成一个著名的小奥计算公式——“吃鱼公式”。
视频地址:http://v.youku.com/v_show/id_XMTU4MzcwMDUzMg==.html
6、裂项
裂项是六年级暑假重点学习的知识点。总的来讲,它的难度很高。不过由于大多数小升初裂项题都很简单,因此有的孩子会选择图方便去死记住规律。这样其实非常危险,第一,现在雅系的小升初考试裂项难度远超普通题,只会做最简单的裂项是远远不够的;第二,公式中有一些细节容易被记错,如果没有理解的辅助,在真实考试的紧张状态下很容易出错。我们通过下面这个视频,讲解下《小升初100题》例题2的同时,来给孩子们做个裂项入门吧!
视频地址:http://v.youku.com/v_show/id_XMTU4MzcwMTE5Mg==.html

