长沙小升初奥数几何问题之勾股定理与弦图解题方法
长沙小升初奥数几何问题之勾股定理与弦图解题方法。
常见解题方法:
一、勾股定理
勾股定理其实是一个很简单的定理,而我们小学奥数比较偏重于勾股定理的应用!首先,我们必须明确,勾股定理只能应用于直角三角形,这是大前提;其次就是,勾股定理描述的是直角三角形的三边之间的数量关系!题目一旦牵涉到这些,我们都可以运用勾股定理来解决!
例1、若直角三角形一直角边为9,则斜边为多少?
【详解】此题是勾股定理和平方差公式的结合运用。一直角边的长度为9,说明: 斜边2-一直角边2=另一直角边2,即用字母表示为c2 -b2=a2=81=(c+b)(c-b),则

所以斜边长为41或15。
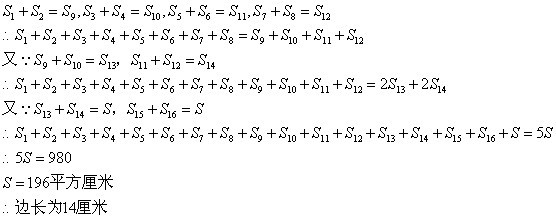
例2、在美丽的平面珊瑚礁图案中,三角形都是直角三角形,四边形都是正方形,如图所有的正方形的面积之和是980平方厘米。问:最大正方形的边长是多少?

【详解】

如图:分别给每个正方形编号为1、2...16,设最大正方形面积为S,则根据勾股定理可得:

2、弦图
在弦图的简介中我们知道,弦图往往会伴随着正方形或者长方形出现,而正方形又跟等腰直角三角形(长方形跟直角三角形)是密切相关的,所以我们在碰到关于正方形、等腰三角形的题型时,不妨可以考虑通过构造弦图来解题!
例、从一个正方形的木板上锯下宽0.5米的一个长方形木条以后,剩下的长方形面积为5平方米,问:锯下的长方形木条的面积等于多少平方米?


3、勾股定理与弦图
在小学奥数体系中,勾股定理与弦图的关系是密不可分的,很多题型中,先构造弦图,再利用勾股定理来解题往往会事半功倍,所以构造弦图是我们几何题目中的一大技巧!
例1、如图,P是正方形ABCD外面的一点,PB=12厘米,△APB的面积是90平方厘米,△CPB的面积是48平方厘米。请问:正方形ABCD的面积是多少平方厘米?


例2、△ABC是直角三角形,在边AB、BC、CA上分别取点D、E、F,使得AD=AF=FC=EC。当△DEF成为等腰直角三角形、BE=3cm、DB=1cm时,求△ABC的面积。



