Image Modal

重庆
重庆奥数网

重庆站
奥数网

重庆小学四年级数学每日一练(10月6日)

重庆家长帮 2018-10-20 22:38:21

重庆小学四年级数学每日一练(10月6日)

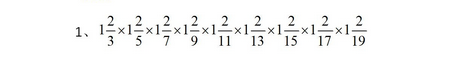
  【习题】

温馨提示:福利来咯!距离数学拿高分,你和孩子只差这一步!→领取福利

相关推荐

点击查看更多
重点初中
首页 导航