重庆小升初数学必考知识点:计算综合
重庆奥数整理了小升初数学必考知识点,适合六年级同学小升初复习之用,低年级也可以提前进行学习一下。
第一讲 计算综合
内容概述
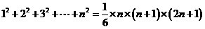
1.n×(n+1)=[n×(n+1)×(n+2)-(n-1)×n×(n+1)]÷3;
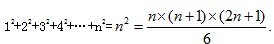
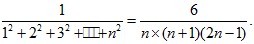
2.从1开始连续n个自然数的平方和的计算公a式:
![]()

典型问题
1.已知a=
试比较a、b的大小。
【分析与解】

其中A=99,B=99+1/100. 因为A<B,所以98+1/A>98+1/B,


所以有a < b.
2.试求
的和?
【分析与解】 记
则题目所要求的等式可写为:
,而
所以原式的和为1.
评注:上面补充的两例中体现了递推和整体思想。
2.试求1+2+3+4+…4+100的值?
【分析与解】 方法一:利用等差数列求和公式,(首项+末项)×项数÷2=(1+100)×100÷2=5050.
方法二:倒序相加,1+ 2+ 3+ 4+ 5+… 97+ 98+ 99+ 100
100+ 99+ 98+ 97+ 96+…4+ 3+ 2+ 1,
上下两个数相加都是101,并且有100组,所以两倍原式的和为101×100,那么原式的和为
10l×100 ÷2=5050.
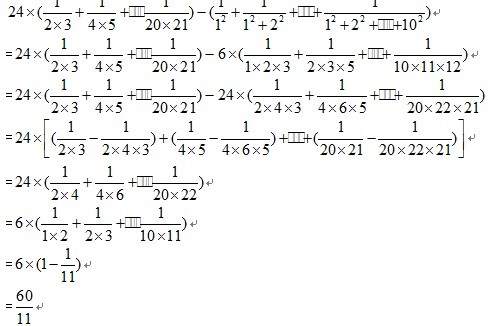
方法三:整数裂项(重点),
原式=(1×2+2×2+3×2+4×2+…+100×2)÷2
=
=
=100×101÷2
=5050.
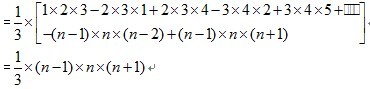
3.试求l×2+2×3+3×4+4×5+5×6+…+99×100.
【分析与解】方法一:整数裂项
原式=(1×2×3+2×3×3+3×4×3+4×5×3+5×6×3+…+99×100×3)÷3
=[1×2×3+2×3×(4-1)+3×4×(5-2)
+4×5×(6-3)+5×6×(7-4)+…+99×100×(101-98)]÷3

方程二:利用平方差公式

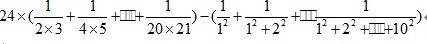
5.计算下列式子的值:
0.1×0.3+0.2 0.4+0.3×0.5+0.4×0.6+…+9.7×9.9+9.8 10.0
【分析与解】这个题看上去是一个关于小数的问题,实际上我们可以先把它们变成整数,然后再进行计算。即先计算1×3+2 4+3×5+4 6+…+97 99+98×100。再除以100.
方法一:再看每一个乘法算式中的两个数,都是差2,于是我们容易想到裂项的方法。
0.1×0.3+0.2 0.4+0.3×0.5+0.4×0.6+…+9.7×9.9+9.8 10.0
=(1×3+2×4+3×5+4×6+…+97×99+98×100)÷100
=[(l×2+1)+(2×3+2)+(3×4+3)+(4×5+4)+…+(97×98+97)+(98×99+98)]÷100
=[(1×2+2×3+3×4+4×5+…+97×98+98×99)+(1+2+3+4+…+97+98)]÷100
=(1/3×98×99×100+1/2×98×99)÷100
=3234+48.51
=3282.51
方法二:可以使用平方差公式进行计算。

评注:首先,我们要清楚数与数之间是相通的,小数的计算与整数的计算是有联系的。下面简单介绍一下整数裂项。
1×2+2×3+3×4+…+(n-1)×n
=1/2×[1×2×3+2×3×3+3×4×3+…+(n-1)×n×3]
=1/3×{1×2×3+2×3×(4-1)+3×4×(5-2)+…+(n-1)×n[n+1-(n-2)]}

6.计算下列式子的值:

【分析与解】 虽然很容易看出
可是再仔细一看,并没有什么效果,因为这不像分数裂项那样能消去很多项。我们再来看后面的式子,每一项的分母容易让我们想到公式
于是我们又有
减号前面括号里的式子有10项,减号后面括号里的式子也恰好有10项,是不是“一个对一个”呢?

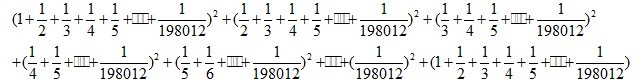
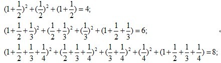
7.计算下列式子的值:

【分析与解】显然直接求解难度很大,我们试着看看是否存在递推的规律。
显然

所以原式=198012×2=396024.
习题
计算17×18+18×19+19×20+…+29×30的值。
提示:可有两种方法,整数裂项,利用1到n的平方和的公式。
答案:(29×30×31-16×17×18)÷3=29×10×31-16×17×6=7358.
编辑推荐:
2012年重庆小升初数学模拟考试题
小升初语文阅读理解解题方法
小升初考试语文作文得满分的绝招
小学生奥数能力测试知识点汇总

