Image Modal

重庆
重庆奥数网

重庆站
奥数网

2012年小升初数学模拟试卷以及答案(3)

重庆奥数网整理 2012-04-18 12:56:30

小升初数学模拟试题

   

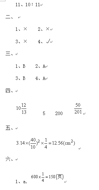
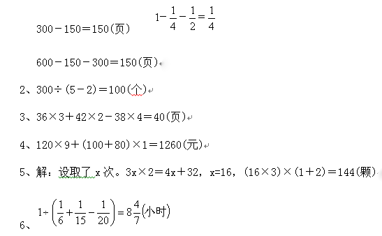
  b.600×1/2=300(页)  1/2-1/4=1/4

小升初数学模拟试题

首页 上一页 下一页 尾页
温馨提示:福利来咯!距离数学拿高分,你和孩子只差这一步!→领取福利

相关推荐

点击查看更多
重点初中
首页 导航