小学数学奥林匹克模拟试卷(18)(2)
参考答案:
一、填空题:

2.142
因为1997与所求整数之和是23与31的公倍数,所以有
23×
713×
142为所加整数。
3.240

16+48+16=80(页)
所以这本书共有
4.22
为方便起见,原图中的空格用字母表示,如图所示。

可以看出,每一横行、每一竖行及对角线上的三个数之和为(x+7+10=)x+17
显然a3=17+x-x-1=16
a1=17+x-10-16=x-9
a2=17+x-(x-9)-1=25
a5=17+x-10-25=x-18
所以x+(x-9)+(x-18)=x+17
2x=44
x=22
5.17208
显然C=1,K=9,且百位向千位进1.
因为在十位上,N=9(个位向十位进1),或N=0,由于K=9,所以N=0.
在百位上,由于百位向千位进1,所以O=5,6,7,8.试验:
若O=5,则I=0,与N=0重复。

+2+0+8=11,所以H=7(1,4已被取过)。


所以五位数是17208.

因为在四个数中每次选取两个数求和,计算六次,等于每个数计算了三次,即四数之和的3倍。每次计算两个数的平均数,计算六次,等于四数之

7.3号、6号
经试验可以发现,棋子每次跳到的位置依次是2、4、1、5、4、4、5、1、4、2、1、1、2、4、1、…每12次为一个循环,所以3、6号位置永远跳不到。


此分数的分子应是5、15、21的公倍数,分母是28、56、20的公约数。为使这样的分数取最小,则分子是5、15、21的最小公倍数为105,分母是

9.250
V甲=60米/分=1米/秒,V乙=90米/分=1.5米/秒。根据题意可知,乙为追上甲,需要多走100米还要多转一个转弯,但在转弯处还要耽误10秒钟,此时甲又多走出10米,所以甲、乙的距离差为(100+10=)110米,乙追上甲时共行了
1.5×110÷(1.5-1)=330(米)
由此可知,乙需拐三次弯,需要30秒,所以乙追上甲时共需时间
110÷(1.5-1)+30=250(秒)
10.20
因为只有两个面是红色的小长方体位于棱上(除去棱的端点),为使分割的块数尽量少,可使12条棱中有8条棱只有端点的两个小长方体,另外4条棱的中间分别有(12÷4=)3个小长方体,所以共分割成小长方体的个数为
(3+2)×2×2=20(个)
二、解答题:
1.3





3.23
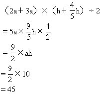
设上底长为2a,下底长为3a,三角形AOD的高为h,则三角形BCO的高为

因为三角形AOD面积为10,可知
ah=10
所以梯形面积为

故阴影面积为
45-(10+12)
4.(34,40,46,52,58,64,70)
一个数除以7的余数有7种可能:6,5,4,3,2,1,0.
若余数为6,则这个数除以6的商为(11-6=)5,这个数在30~36之间,此区间中只有34被7除余6.
若余数为5,则这个数除以6的商为(11-5=)6,这个数在36~42之间,此区间中只有40被7除余5.
依此类推,可以得到相应的其余几个数:46,

