小学数学奥林匹克模拟试卷(15)(2)
参考答案:
一、填空题:
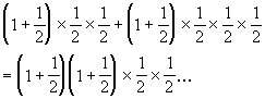
1.

2.
120的偶因数有12个:2,4,6,8,10,12,20,24,30,40,60,120.每个偶因数对应于一种符合条件的分法,所以共有12种分法。
3.3分
根据题设可知:第三、四次的总分比前两次的总分多2分、比后两次的总分少4分,所以后两次的总分比前两次的总分多6分,又根据条件可知,后三次比前三次的总分多9分,所以第四次比第三次多得3分。

设原有水量为
第一次补完后,有水:

第二次补完后,有水:

……
第五次补完后,有水:

5.65∶
因为平均每41个头有99只脚,即每82个头有198只脚。
假设这82只全是鸡,则应有脚164只。
每增加一只兔子,可增加2只脚,共增加(198-164)÷2=17(只)兔子,此时有鸡(82-17=)65只。
所以鸡与兔的比值是65∶17.
6.9.5平方厘米。
连结长方形对角线AC,可知S△ABC=S△ACD=12(平方厘米)。
因为S△AFD=6(平方厘米),所以S△ACF=6(平方厘米),由此可知F是DC边的中点。
因为S△ABE=5(平方厘米),所以S△AEC=7(平方厘米),由此可知BE∶EC=5∶7.


S△AEF=24-5-3.5-6=9.5(平方厘米)。


,此时可知x=4.
因为2047×z=□□□□,□中没有1,所以z=2.
故被除数为2047×432=884304.
8.2002年
因为四年后,姐弟年龄之和是25岁,父母年龄之和是86岁。所以此时姐的年龄为
(25×4-86)÷(4-3)=14(岁)
父的年龄是所以今年姐10岁,父40岁,根据
(40-10)÷(3-1)=15(岁)
可知,姐15岁时,父是姐年龄的3倍。因此还要过(15-10=)5年。所以1997+5=2002(年)。
9.23天
一件工作,甲需(8×30=)240小时完成,乙需(10×22=)220小时完成。

所以完成这件工作共用了(13+8+2=)23天。(甲独做时还要再休息两天。)
10.
设这串数中任一个数为a,它的前两个数为b和c,则a=b+c.于是a除以5的余数等于
(b+c)除以5的余数。
再设b=5m+r1,c=5n+r2,所以
a=(5m+r1)+(5n+r2)
=5(m+n)+(r1+r2)由此可知,a除以5的余数等于(r1+r2)除以5的余数,即等于前两个数除以5的余数之和再除以5的余数。
所以这串数除以5的余数分别为:
1,1,2,3,0,3,3,1,4,0,4,4,3,2,0,2,2,4,1,0,1,1,2,3,0,……可以发现,这串余数中,每20个数为一个循环,且一个循环中,每5个数中第一个是5的倍数。
1997÷5=399…
所以前1997个数中,有399个是5的倍数。
二、解答题:
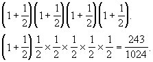
1.1

……

2.750平方米
根据题设可知,第三块比第二块的宽多(4+3=)7米,所以每块长方形的长为
(840-630)÷(4+3)=30(米)
第一块地的面积为:
30×(630÷30+4)=750(米)
3.318个
一面染色时,最多可得到(5×6=)30个一面是红色的小正方体。
二面染色时,最多可得到(30×2=)60个一面是红色的小正方体。
三面染色时,最多可得到(60+5×2-5×2=)60个一面是红色的小正方体。
四面染色时,最多可得到(60+5×2-5×2=)60个一面是红色的小正方体。
五面染色时,最多可得到(60+8-12=)56个一面是红色的小正方体。
六面染色时,最多可得到(56+8-12=)52个一面是红色的小正方体。
所以共有一面是红色的小正方体。
30+60+60+60+56+52=318(个)
4.14点40分
(1)火车的速度是每秒多少米?

(2)工人的速度是每秒多少米?

(3)学生的速度是每秒多少米?

(4)14点16分时学生、工人相距多远?

(5)学生、工人相遇需要多少分?

(6)学生、工人相遇时间:
14点16分+24分=14点40分

