小学数学奥林匹克模拟试卷(14)(2)
参考答案:
一、填空题:

2.30.
根据题设可知,5箱苹果中共取出(24×5=)120千克,相当于原来4箱苹果的重量,所以每箱苹果重(120÷4=)30千克。
3.15.
分类计算:从4枚硬币中任取一枚,有4种取法;从4枚硬币中任取二枚,有6种取法;从4枚硬币中任取三枚,有4种取法;从4枚硬币中取4枚,有1种取法,所以共有(4+6+4+1=)15种取法。
4.70分。
(1)录取者总成绩比未录取者总成绩多多少分?
42×100=4200(分)
(2)未录取者平均分是多少分?
51-4200÷500=42.6(分)
(3)录取分数线是多少分?
(42.6+42)-14.6=70(分)
5.45.

验证其余四个算式均满足条件,所以A×D=45.
6.
因为1995=3×5×7×19.平均每人捐款钱数定是1995的一个约数。
经试验可知,只有3满足条件,此时每个教学班人数为(1995÷3-35)÷14=45(人)。
7.48.
(1)在小红旗所在的竖行中,按照由1个、2个、3个、4个小长方形所组成的长方形的顺序去计算,包含小红旗的长方形共有

从3时开始计算,时针与分针重合需要

1+2+2+1=6(个)
(2)在小红旗所在的横行中,按照由1个、2个、3个、4个、5个小长方形所组成的长方形的顺序去计算,包含小红旗的长方形共有
1+2+2+2+1=8(个)
所以包含小红旗的长方形共有
从3时开始计算,时针与分针重合需要
24小时重合次数:
9.53.
因为三个正方形的边长是整数,所以长方形的长和宽也是整数。因此长方形的长是16的倍数,长方形的宽是4的倍数。
当长是16时,正方形②的边长为16-7=9,所以长方形的宽是大于9且是4的倍数。故宽至少是12.
因为长×宽<200,且6×12=192,所以只能是长为16,宽为12.
S阴=192-9×9-7×7-3×3=53.
10.44;20.
先将原图形变形成下图:

观察新旧图形发现,新图形中每行从右往左数,第i个位于原图形的第i行。新图形中每行从左往右数,第j个位于原图形的第j列,且第n行左数第1个是(1+n)×n÷2.
下面找出1997所在的行数。
因为63×62÷2=1953,所以1997在第63行。第62行左数第一个数是1953,第63行左数第一个数是(1953+63=)2016.
根据1997-1953=44和2016-1997+1=20,可知1997在第44行第20列。
二、解答题:
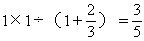
2.8天。
(1)1个工人每天可加工多少零件?
135÷(5×2-1)=15(个)
(2)还需要几天完成?
(735-135)÷5÷15=8(天)
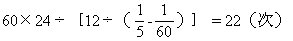
3.22.
,178-105=73>14,不符合条件。
所以378-356=22为擦掉的数字。
4.400米。
设跑道的长为1,甲跑第一圈时的速度为1.
(1)甲、乙第一次相遇时,甲跑离起点多远?

(2)当甲回到起点时,乙离起点还有多远?

(3)当乙回到起点时,甲又跑离起点多远?

(4)当乙又跑离起点时,何时与甲相遇?

(5)第二次相遇时,乙跑离起点多远?

(6)跑道的长度是多少米?

或


