小学数学奥林匹克模拟试卷(12)(2)
参考答案:
一、填空题:
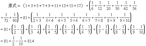
1.(81.4)

2.(3201)
乘积前两位数字是1和0.“趣味数学”ד趣”的千位数字是9,就有“趣”=3,显然,“数”=0.而味“味”ד趣”不能有进位,2ד味”ד趣”向百万位进1,所以“味”=2,同理,“学”=1.
3.(24000)
÷75%=24000(吨)。
4.(8,447)
由周期性可得,(1)100=16×6+4,所以小数点后第100个数字与小数点后第4个数字一样即为8;(2)小数点后前100个数字的和是:16×(1+4+2+8+5+7)+1+4+2+8=447.


6.(一样大)
甲、乙两杯中液体的体积,最后与开始一样多,所以有多大体积纯酒精从甲杯转到乙杯,就有多大体积的水从乙杯转入了甲杯,即甲杯中含水和乙杯中含酒精体积相同。
7.(240个)

8.(62.172,取π=3.14)
液体体积不变,瓶内空余部分的体积也是不变的,因此可知液体体积是
9.(1,2,3)
10.(7744)


到9999中找出121的倍数,共73个,即121×10,121×11,121×12,…,
积,只能取16,25,36,49,64,81经验算所求四位数为7744=121×64.
二、解答题:
1.(30)
由图可知正方形的边长等于长方形的宽边,这样长方形的周长应等于长方形的长边与正方形的边长之和的两倍。(9+6)×2=30(cm)。
2.(3圈)

3.(9,18,27,36,45)
第一个数一定是一位数,其余为两位数,为使它的2倍是两位数,这个数必须大于4;由于给出九数中只有四个偶数,所以第一个数只能是奇数;由于没有0,所以这个数不是5,又7×2=14,7×3=21有重复数字1,所以不能是7,由此这个一位数是9.
4.(6)
这列数为2,9,8,2,6,2,2,4,8,2,6,2,2,4,8,2…除去前两个数2,9外,后面8,2,6,2,2,4六数一个循环。
(1997-2)÷6=332余3.

