小学数学奥林匹克模拟试卷(8)(2)
参考答案:
一、填空题:

3.(37)
将△A1A6A12分解成以OA6为公共边的两个三角形。△OA1A6共有(5+4+3+2+1=)15个三角形,△OA6A12共有(6+5+4+3+2+1=)21个,所以图中共有(15+21+1=)37个三角形。
4.(6年)
今年年龄和15+12=27岁,比15岁多27-15=12,两人一年增长的年龄和是2岁,故12÷2=6年。
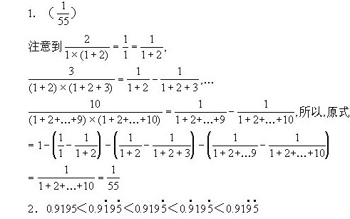
5.(154)
145×4-(139+143+144)=154.
6.(421)
这个数比2,3,4,5,6,7的最小公倍数大1,又2,3,4,5,6,7的最小公倍数为420,所以这个数为421.
7.(5)
由图示阴影部分的长是圆S2的直径,宽是半圆S1的直径与圆S2的直径




9.(16升)
由甲容器中的水是乙容器的2倍和它们均倒出8升水后变成3倍关系,设原甲容器中的水量为4份,则因2容器中的水量为2份,按题意画图如下:

故较少容器原有水量8×2=16(升)。




把100名学生分成四组,每组25人。只有每组队员乘车和步行的时间都分别相等,他们才能同时到达目的地,用的时间才最少。
如图,设AB=x千米,在第二组队员走完AB的同时,汽车走了由A到E,又由E返回B的路程,这一段路程为11x千米(因为汽车与步行速度比为55∶
二、解答题:
1.(26棵)
要使四边上每两棵树间隔距离都相等,这个间隔距离必须能整除每一边长。要种的树尽可能少(间隔距离尽可能大),就应先求出四边长的最大公约数。60,72,96,84四数的最大公约数是12,种的棵数:(60+72+96+84)÷
2.(28米/秒,260米)
(1980-1140)÷(80-50)=28(米/秒)
28×50-1140=260(米)
3.不可能。
反证法,假设存在某种排列,满足条件。我们把这100个数从左向右按1,2,3,…,99,100编号,则任何两个相等的偶数之间要插入偶数个数,则这两个偶数的序号的奇偶性是不同的;而任何两个相等的奇数之间要插入奇数个数,则这两个奇数的序号的奇偶性相同。由此,这100个数中有25对偶数(每对是两个相等的偶数),它们占去25个奇序号和25个偶序号;另外25对相等的奇数,它们中奇序号的个数一定是偶数。而在100个数中奇序号和偶序号各有50个,所以这25对相等的奇数中,奇序号个数只能是25个(因为25对偶数已占去了奇序号)。25是奇数,由于奇数≠偶数,所以无法实现。
4.(106元)




(元)。

