小学数学奥林匹克模拟试卷(2)(2)
参考答案
一、填空题:
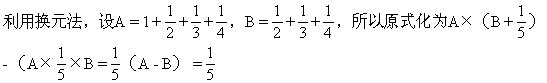
1.(1/5)

2.(44)
[1×(1+20%)×(1+20%)-1]÷1×100%=44%
3.(偶数)
在121+122+…+170中共有奇数(170+1-121)÷2=25(个),所以121+122+…+170是25个奇数之和再加上一些偶数,其和为奇数,同理可求出在41+42+…+98中共有奇数29个,其和为奇数,所以奇数减奇数,其差为偶数。
4.(27)
(40+7×2)÷2=27(斤)
5.(19)
淘汰赛每赛一场就要淘汰运动员一名,而且只能淘汰一名。即淘汰掉多少名运动员就恰好进行了多少场比赛。即20名运动员要赛19场。
6.(301246)
设这六位数是301240+a(a是个一位数),则301240+a=27385×11+(5+a),这个数能被11整除,易知a=6.
7.(20)
每个小圆的半径未知,但所有小圆直径加起来正好是大圆的直径。所以所有小圆的周长之和等于大圆周长,即20厘米。
8.(7)
假设小宇做对10题,最终得分10×8=80分,比实际得分41分多80-41=39.这多得的39分,是把其中做错的题换成做对的题而得到的。故做错题39÷(5+8)=3,做对的题10-3=7.
9.(6666÷6+666+6×6×6+6-6÷6-6÷6=1997)。
先用算式中前面一些6凑出一个比较接近1997的数,如6666÷6+666=1777,还差220,而6×6×6=216,这样6666÷6+666+6×6×6=1993,需用余下的5个6出现4:6-6÷6-6÷6=4,问题得以解决。
10.(110)


二、解答题
1.(22个)
根据图形特点把图中三角形分类,即一个面积的三角形,还有一类是四个面积的三角形,顶点朝上的有3个,由对称性知:顶点朝下的也有3个,故图中共有三角形个数为16+3+3=22个。
2.(14间,40人)
(12+2)÷(3-2)=14(间)
14×2+12=40(人)
3.(5辆)
让每车都装满,即刚好卸下一箱货物就满足货物总量小于3吨,则装满3辆,余下小于10-3×3=1吨,再从前3辆各卸下一箱货放在最后第五辆车上,总重小于3×1=3吨。
下面说明只有4辆车不能保证。如把10吨货平均放在13个箱子中,即
一箱不能运走。
4.(4个)
这个问题依据两个事实:
(1)除2之外,偶数都是合数;
(2)九个连续自然数中,一定含有5的倍数。以下分两种情况讨论:①九个连续自然数中最小的大于5,这时其中至多有5个奇数,而这5个奇数中一定有一个是5的倍数,即其中质数的个数不超过4个,②九个连续的自然数中最小的数不超过5,有下面几种情况:
1,2,3,4,5,6,7,8,
2,3,4,5,6,7,8,9,
3,4,5,6,7,8,9。10,
4,5,6,7,8,9,10,11,12,
5,6,7,8,9,10,11,12,
这几种情况中,其中质数个数均不超过4.
综上所述,在九个连续自然数中,至多有4个质数。

