小学奥数专题练习题之数字谜题训练A卷
重庆奥数网整理
2012-01-04 13:01:04
训练A卷
班级______ 姓名_____ 得分_____
1.填空题

2.下列竖式中每个不同的汉字表示0~9中不同的数字,求出它们并使得竖式成立。

3.在□内填入适当的数字,使下列运算的竖式成立

4.
用1~9九个数字组成竖式,把左面竖式中的“*”改成相应的数字。使竖式成立。
5.把下列竖式中的“*”改成相应的数字,使竖式成立。

6.下列各式左端是一位数的四则运算,请填入+、-、×、÷及括号等符号,使得等式成立。
(1) 9 8 7 6 5 4 3 2 1=1
(2) 9 8 7 6 5 4 3 2 1=10
(3) 9 8 7 6 5 4 3 2 1=100
(4) 9 8 7 6 5 4 3 2 1=1000
(5) 9 8 7 6 5 4 3 2 1=1993
(6) 9 8 7 6 5 4 3 2 1=1994
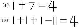
7.移动一根火柴,使下列等式能够成立。

8.已知一个四位数abcd的9倍是dcba,求这个四位数。
9.有一个多位数,它的末位数字是4,如果把这个4移到最左边,得到的新数是原数的4倍,求原数。
10.一个三位数,个位数字是3,如果把个位数字移作百位数字,原百位数字移作十位数字;原十位数字移作个位数字,那么所成的新数比原数少171,求原数。

