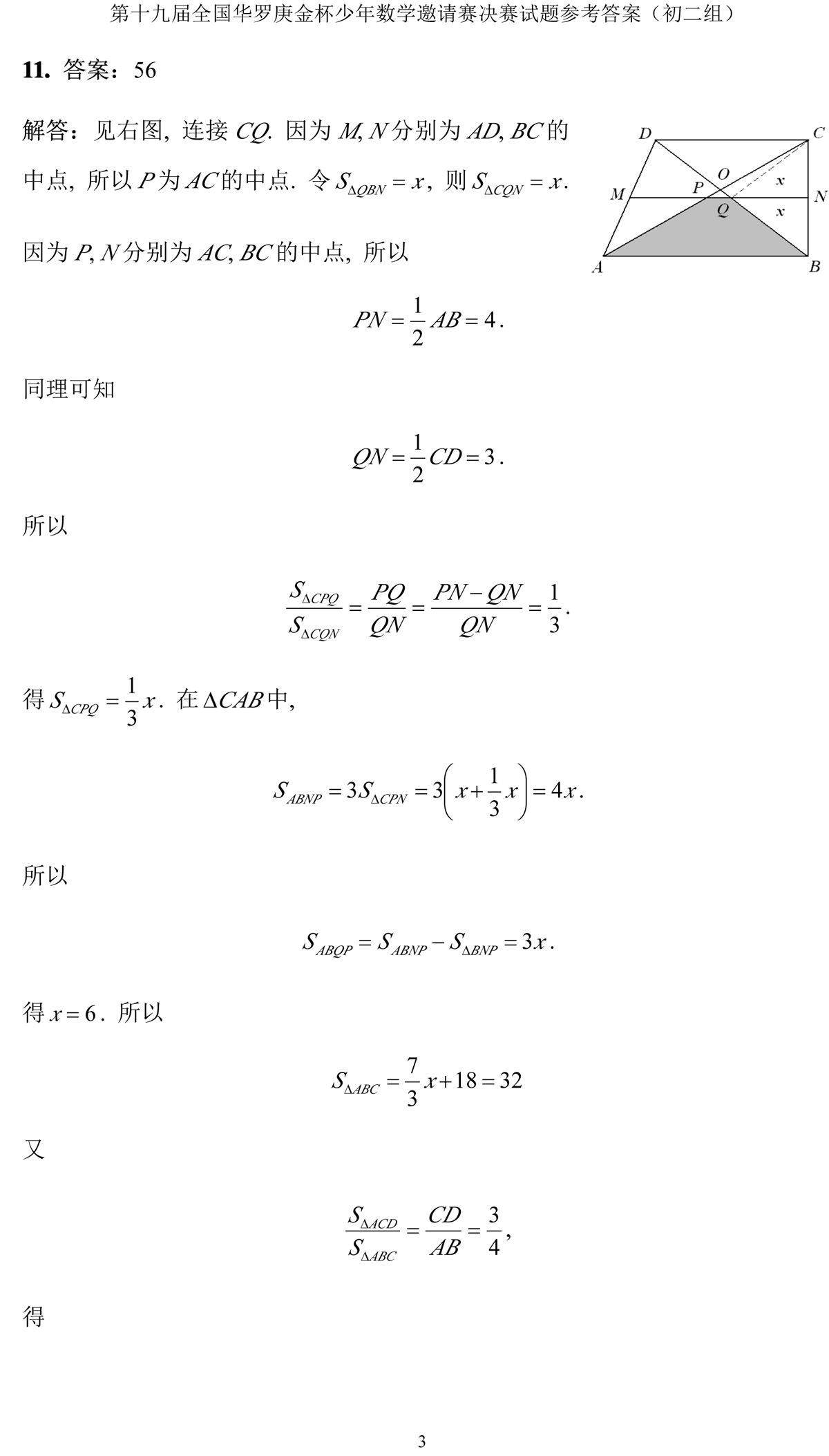
Image Modal

成都
成都奥数网

成都站
奥数网

第19届华杯赛决赛成都赛区试题及答案(初二组)(2)

成都奥数网 2014-04-14 20:01:21









 点击查看:2014年第十九届华杯赛决赛真题及答案汇总

首页 上一页 下一页 尾页
温馨提示:福利来咯!距离数学拿高分,你和孩子只差这一步!→领取福利

相关推荐

点击查看更多
重点初中
杯赛竞赛
首页 导航