备战2013小升初:数学知识点之最值问题
成都奥数网10月19日 为帮助更多2013成都小升初的同学们顺利升学,成都奥数网整理了小升初数学必考知识点,适合六年级同学小升初复习之用,低年级也可以提前学习一下。
最值问题
内容概述
均值不等式,即和为定值的两数的乘积随着两数之差的增大而减小。各种求最大值或最小值的问题,解题时宜首先考虑起主要作用的量,如较高数位上的数值,有时局部调整和枚举各种可能情形也是必要的。
典型问题
1.有4袋糖块,其中任意3袋的总和都超过60块。那么这4袋糖块的总和最少有多少块?
【分析与解】 方法一:设这4袋为A、B、C、D,为使4袋糖块的总和最少,则每袋糖应尽量平均,有A、B、C袋糖有20、20、21块糖。
则当A、B、D三袋糖在一起时,为了满足条件,D袋糖不少于21块,验证A、B、C、D这4袋糖依次有20,20,2l,2l时满足条件,且总和最少。
这4袋糖的总和为20+20+21+21=82块。

3(a+b+c+d)>240,a+b+c+d>80,因为a、b、c、d均是整数,所以a+b+c+d的和最小是81.至于为什么会出现这种情况。如何避免,希望大家自己解决。
2.用1,3,5,7,9这5个数字组成一个三位数ABC和一个两位数DE,再用O,2,4,6,8这5个数字组成一个三位数FGH和一个两位数IJ.求算式ABC×DE-FGH×IJ的计算结果的最大值。
【分析与解】 为了使ABC×DE-FGH×IJ尽可能的大,ABC×DE尽可能的大,FGH×IJ尽可能的小。
则ABC×DE最大时,两位数和三位数的最高位都最大,所以为7、9,然后为3、5,最后三位数的个位为1,并且还需这两个数尽可能的接近,所以这两个数为751,93.
则FGH×IJ最小时,最高位应尽可能的小,并且两个数的差要尽可能的大,应为468×20.
所以ABC×DE-FGH×IJ的最大值为751×93-468×20=60483.
评注:类似的还可以算出FGH×IJ-ABC×DE的最大值为640×82-379×15=46795.
3.将6,7,8,9,10按任意次序写在一圆周上,每相邻两数相乘,并将所得5个乘积相加,那么所得和数的最小值是多少?

【分析与解】 我们从对结果影响最大的数上人手,然后考虑次大的,所以我
们首先考虑10,为了让和数最小,10两边的数必须为6和7.
然后考虑9,9显然只能放到图中的位置,最后是8,8的位置有两个位置可放,而且也不能立即得到哪个位置的乘积和最小,所以我们两种情况都计算。
8×7+7×10+10×6+6×9+9×8=312;
9×7+7×10+10×6+6×8+8×9=313.
所以,最小值为312.
4.一个两位数被它的各位数字之和去除,问余数最大是多少?
【分析与解】设这个两位数为 =lOa+b,它们的数字和为a+b,因为lOa+b=(a+b)+9a,所以lOa+b≡9a(mod a+b),
设最大的余数为k,有9a≡k(mod a+b)。
特殊的当a+b为18时,有9a=k+18m,因为9a、18m均是9的倍数,那么k也应是9的倍数且小于除数18,即0,9,也就是说余数最大为9;
所以当除数a+b不为18,即最大为17时,

所以最大的余数为15,此时有两位数79÷(7+9)=4……15.
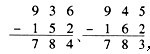
5.用1,2,3,4,5,6,7,8,9这9个数字各一次,组成一个被减数、减数、差都是三位数的正确的减法算式,那么这个算式的差最大是多少?
【分析与解】 考虑到对差的影响大小,我们先考虑百位数,为了让差最大,被减数的百位为9,减数的百位为1,如果差的百位为8,那算式就是如下形式:
剩下的6个数字为2、3、4、5、6、7,因为百位数字为8,所以我们可以肯定被减数的十位数字比减数要大,而且至少大2,因为1已经出现在算式中了,算式的可能的形式如下:

得数的十位只可能是减数和被减数的十位数字之差,或者小1,可能的算式形式如下:

但这时剩下的数都无法使算式成立。再考虑差的百位数字为7的情况,这时我们可以肯定减数的十位数比被减数要大,为了使差更大,我们希望差值的十位为8,因此,算式可能的形式为:

再考虑剩下的三个数字,可以找到如下几个算式:
,所以差最大为784.
6. 4个不同的真分数的分子都是1,它们的分母有2个是奇数、2个是偶数,而且2个分母是奇数的分数之和与2个分母是偶数的分数之和相等。这样的奇数和偶数很多,小明希望这样的2个偶数之和尽量地小,那么这个和的最小可能值是多少?

7.有13个不同的自然数,它们的和是100.问其中偶数最多有多少个?最少有多少个?
【分析与解】 13个整数的和为100,即偶数,那么奇数个数一定为偶数个,则奇数最少为2个,最多为12个;对应的偶数最多有11个,最少有1个。
但是我们必须验证看是否有实例符合。
当有11个不同的偶数,2个不同的奇数时,11个不同的偶数和最小为2+4+6+8+10+12+14+16+18+20+22=132,而2个不同的奇数和最小为1+3=4.它们的和最小为132+4=136,显然不满足:
当有9个不同的偶数,4个不同的奇数时,9个不同的偶数和最小为2+4+6+8+10+12+14+16+18=90,而4个不同的奇数和最小为1+3+5+7=16,还是大于100,仍然不满足;
当有7个不同的偶数,6个不同的奇数时,7个不同的偶数和最小为2+4+6+8+10+12+14=56,6个不同的奇数和为1+3+5+7+9+11:36,满足,如2,4,6,8,10,12,22,1,3,5,7,9,11的和即为100.
类似的可知,最少有5个不同的偶数,8个不同的奇数,有2,4,8,10,16,1.3.5,7,9,11,13,15满足。
所以,满足题意的13个数中,偶数最多有7个,最少有5个。
推荐阅读:

