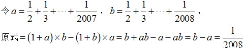
2013苏州六年级希望杯数学备战题5答案 苏州奥数网 2013-01-04 09:48:35 答案解析:换元的时候不一定只用一个字母来进行替换,可以用两个甚至多个字母替换掉不同的重复单元,使整个式子更加简单。 首页 上一页 下一页 尾页
相关推荐 小学1-6年级作文素材大全全国小学升初中语数英三科试题汇总小学1-6年级数学天天练小学1-6年级奥数类型例题讲解整理汇总小学1-6年级奥数练习题整理汇总小学1-6年级奥数知识点汇总小学1-6年级语数英教案汇总小学语数英试题资料大全小学1-6年级语数英期末试题整理汇总小学1-6年级语数英期中试题整理汇总小学1-6年级语数英期中试题整理汇总 点击查看更多