2013苏州六年级希望杯数学备战题5
苏州奥数网
2013-01-04 09:48:35
摘要:2013年苏州六年级希望杯数学竞赛每日一题开始了,苏州奥数网将整理e度名师靳宏亮老师所出的六年级希望杯每日一练,每天一个知识点,做好六年级希望杯准备工作。(点击查看完整备战试题)
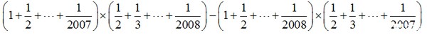
六年级希望杯计算模块试题

答案见下一页
摘要:2013年苏州六年级希望杯数学竞赛每日一题开始了,苏州奥数网将整理e度名师靳宏亮老师所出的六年级希望杯每日一练,每天一个知识点,做好六年级希望杯准备工作。(点击查看完整备战试题)
六年级希望杯计算模块试题

答案见下一页