决胜少儿数学邀请赛决赛真题及答案
今天,决胜少儿数学邀请赛在陇西小学举行了复赛考试。此次考试有14道题目,前10道题是填空题,后面四道题是解答题。小编现将复赛的真题和答案整理如下,详细解析稍后会更新出来。考过试的孩子,可以自己先对下答案,并针对自己做错和不会做的题目,再认真考虑解答一下。
决胜名校少儿数学邀请赛决赛试卷
一、填空题(每题6分,满分60分)
1、计算:
2、若干升含盐70%的溶液与若干含盐58%的溶液混合后得到含盐62%的溶液,如果每种溶液各多取15升,混合后就得到含盐63.25%的溶液,那么第一次混合时含盐70%的溶液取了( )升。
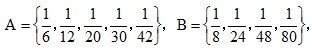
3、袋子里红球与白球数量之比为19:13,放入若干只红球后,红球与白球的数量之比变为5:3,再放入若干只白球后,红球与白球数量之比变为13:11,已知放入的红球比白球少80只,那么原先袋子里共有( )只球。
4、设
于A最接近的整数为( )
5、甲乙二人分别从A、B两地同时出发,在A、B之间往返跑步,甲每秒跑3米,乙每秒跑7米,如果他们第三次相遇点与第四次相遇点的距离是150米,那么A、B之间的距离是( )米。
6、有A、B两组数,
从每一组中各取出一个数,相乘得到一个乘积,所有这20个乘积的总和是( )。
7、若六位数
恰有16个正约数,这样的
的最小值是( )。
8、若
则整数a的所有数位上的数字和等于( )。
9、一件工程,甲队独做24天可以完成,甲队做6天后乙队做4天恰可完成一半,现在甲乙两队合做若干天后,由乙队单独完成,做完后发现两队所用时间相等,则共用( )天。
10、用数码0,1,2,3,4,5组成各位数码都不相同的六位数,并按从小到大的顺序排列,第502个数是( )。
二、解答题(每题10分,共40分)
1、某班组的工人不超过100人,每个工人每天可生产40个螺栓或100个螺母,一个螺栓配两个螺母,若使每天生产的螺栓或螺母都配套,至多可以安排多少人生产螺栓?
2、有101枚棋子,两人轮流取棋子,规定每人每次至少取走1枚,最多取走3枚,直至把棋子取完为止,谁取得最后一枚棋子谁获胜,如果让你先取,你有获胜的办法吗?
3、把写有1,2,3,…,25的25张卡片按顺序叠齐,写有1的卡片放在最上面,下面进行这样的操作:把第一张卡片放到最下面,把第二张卡片扔掉:再把第一张卡片放到最下面,把第二张卡片扔掉…按同样方法,反复进行多次操作,当剩下最后一张卡片时,卡片上写的数是什么?
4、某车站在检票前若干分钟就开始排队,每分钟来得旅客人数一样多,从开始检票到等候检票的队伍消失,若同时开5个检票口则需要30分钟,若同时开6个检票口则需要20分钟,如果要使队伍10分钟消失,那么需要同时开多少个检票口?
答案见下图:

试题详解及讨论请点击查看:一中决胜名校少儿数学邀请赛决赛试卷及答案
最后,预祝郑州小升初的同学们都能取得优异的成绩,进入理想的中学!
------------------------------------------------------------------------------------
编辑推荐:


