Image Modal

武汉
武汉奥数网

武汉站
奥数网

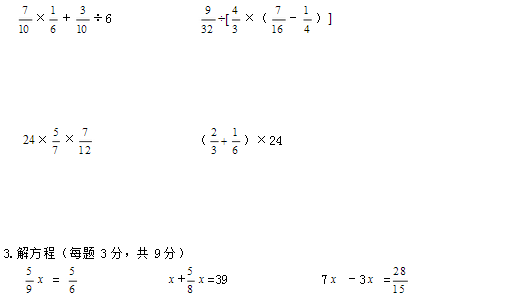
六年级数学上册期中试卷及答案之卷一(人教版)(3)

本站原创 2016-10-28 16:48:22

首页 上一页 下一页 尾页

相关推荐

点击查看更多
重点初中
首页 导航