武汉外国语学校入学考试各知识模块详细分析(数学部分)(6)
外校相关链接:



四、数论模块
1、数论模块整体比重不大
在历届外校试题中,数论的考察不是重点项目,基本上每年考1个小题左右。题目也不是很难。涉及到的有整数拆分、同余、平均数等。
2、数论试题展示
10年外校试题中出现了关于整数拆分与日期推算问题,平均数问题,09年考察了同余问题。难度适中,掌握基本解题思路即可。
【真题展示】
【10年武汉市外国语学校综合测试卷数学部分第14题】大学生小张从7月中旬的某天开始在一家公司勤工俭学,每天工资为60元,星期六工作半天,发40元工资,星期日休息,没有工资,25天后,小张离开公司,他一共赚了1240元,已知7月1日是星期三,则小张结束勤工俭学的那天是8月______日。
【简析】每周小张可以赚到工资为60×5+40=340元,1240=340×3+220,即小张工作了完整的3个星期外加上220元,用去了21天,还剩下4天。将220拆分成3×60+1×40。即小张工作了3周又4天,结束那天是周六,推出开始那天是周三。7月中旬周三即为15日,25天以后,为8月8日。
【答案】8.
【10年武汉市外国语学校综合测试卷数学部分第8题】小明五次数学测验成绩的中位数是91,众数是94,平均分是90,则最低两次测验成绩之和是______分。
【简析】掌握中位数、众数、平均数的概念,本题较为简单。
【答案】271.
【09年武汉市外国语学校综合测试卷数学部分第二题第6题】有一筐苹果,每10个一数多8个,每15个一数多13个,每17个一数多16个,问至少有_____个苹果。
【简析】逐级满足,同时符合第一、第二个条件的数最小是28,依次加上10和15的最小公倍数30,看何时能满足第三个条件。
【答案】118.
五、计数模块
四道历年真题清一色考察简单的加乘原理,属于最基础的计数工具和方法
计数本身属于中学学习的重点内容,因此外校入学考试中不会难度太大,但是容易和其他常用知识点相结合,例如和计数结合最为紧密的两大知识点--概率、容斥,所以对于这两块学生必须也有所掌握,特别是对基本概念的理解
一般不会单纯的出计数题,而是结合到实际情景--应用题中进行考察,学生需对题意进行分析,提炼出所考察的知识点,然后迅速回顾方法
往年外校入学试题数学部分会出一题有关计数知识点的考题,但近年该知识点考察频率降低,更加注重基础知识的考察,将简单加乘计数更加弱化,对于数列计数考察频率上升。
【真题展示】
【2004年外校综合试卷数学部分第2题】今天的欧洲足球锦标赛共有16支球队参加决赛,先平均分成四个组进行小组赛,每组中每两支球队之间都要赛一场,那么四个组一共要进行( )场小组赛。
【答案】24
【2005年外校综合试卷数学部分第3题】从0、1、3、5、8这五个数字中任选四个数字可以组成( )个四位数;如果把这些四位数从小到大的顺序排列,那么第50个数是( )
【答案】96、3058
【2006年外校综合试卷数学部分第2题】小明准备给同学打电话,但他只记得同学家八位电话号码的前六位是876045,还记得号码中最大的数为8,且各个数字不重复。小明按此规律随机地拨打了一个号码,则他拨打电话号码正确的可能性大小可用分数表示为 。
【答案】1/6
【2009年外校综合试卷数学部分第1题】盒子里有1个黄球、一个绿球、2个白球,除颜色不同其他都相同,现在从里面一次取出两个球,则取出两个白球的概率是( )
(A) 1/2(B)1/4 (C) 1/6(D)1/12
【答案】C
六、行程模块
武汉外校对于行程的考察不是其热点,但是观察历届外校行程试题会发现,行程问题会在某几年考察非常热门(如在06年考了10分,占数学部分的14.28%;10年压轴题7分,占数学部分的12.72%),而在某几年弃之不考(07、08、09年均没有考察行程问题)。凡是外校考到的题目不管是计算量还是解题过程来说难度都是比较大的。所以说行程问题还是我们备考外校的一个比较重要的考点。
真题展示
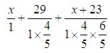
【2010年外校入学测试第16题】如图,甲从学校到图书馆,乙从图书馆到学校,按如图所示的路线同时出发,恰好同时到达,已知甲、乙二人出发时速度之比为9:8。图中,超市到学校的路程与图书馆到超市的路程相等,超市到公园的路程为26千米,超市到工厂的路程为3千米,两人经过公园都要减速1/5 ,经过工厂都要加速1/5 。若甲出发时的速度是1,求学校到图书馆的路程。

【考点】变速变道问题。
【简析】变速变道问题分段考虑,通过设出未知数,根据两次时间相同列方程来解。设学校到公园的距离是x,则工厂到图书馆的距离是x+23。甲的时间为:
,乙的时间为:
。两次时间相等,解方程即可。需要注意的是,甲先减速后加速,乙则是先加速后减速。
【答案】108千米
【2006年外校入学测试第6题】被称作"钢铁天路"的青藏铁路新线格拉段已于7月1日顺利开通,铁路部门在铁路沿线每隔1000米处设置一个里程标。火车从"格尔林"车站的第一个里程标出发,向拉萨方向行驶。1分钟后,离车头最近的里程标距车头200米,又行驶可3分钟后,车头已经经过了7个里程标(不计算开始的那个),那么火车每分钟行驶_____米。
【考点】火车过桥问题
【简析】4分钟火车行驶了7个里程标,即走过的路程是7000~8000米,则1分钟走了接近2个里程标。根据题意差了200米不到2000米。即一分钟行驶2000-200=1800米。
【答案】1800
外校相关链接:




