每日一题:预热新初一提升计算能力(6.6)
太原e度论坛
2014-06-10 10:15:34
太原奥数网 小学,孩子的计算能力过关了吗?你发现孩子的这些问题了吗?如果过关,那么请来保持你的实力,如果不过关,那么,快来锻炼锻炼,提升孩子计算能力吧。
为了帮助刚步入初中的孩子们快速地培养新的学习习惯,也为了帮助孩子们突破计算,攻克计算能力的瓶颈。学而思新初一团队特推出有理数计算每日1题
(1)每天限时训练《有理数计算每日1题》15分钟;(周六、周日休息)
(2)每天5道题,上传您的答案和解题过程,我会帮您诊断孩子的解答,帮助孩子形成良好的习惯
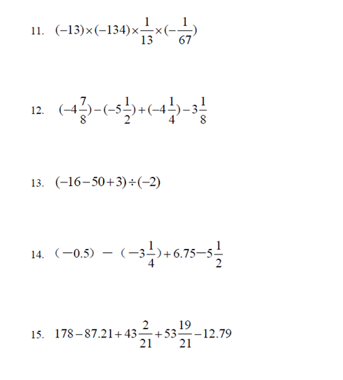
6月6日天天练

【查看原帖并参与讨论:【每日一题】预热新初一提升计算能力】

