2012太原小初衔接暑假练兵之每日e题[8.5]
太原e度论坛
2012-08-09 18:10:03
导读:2012年太原小升初已基本结束,应对小初衔接,太原学而思教学团队精心策划了每日视频及每日一题活动,方便预习新初一知识点。
太原奥数网:为便于学生查阅相关试题,太原奥数网小编特将知识点讲解视频、每日相关试题及答案进行转载汇总,下面是8月5日视频、试题及答案。
8月5日试题
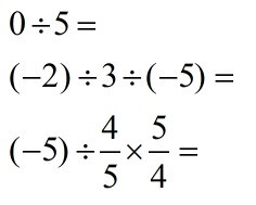
有理数减法的题目:

请严格按照减法的步骤书写
答案见下一页
点击进入并参与答题小初衔接暑假练兵之每日视频及每日一题
8月5日试题答案

(点击请教老师)

