[答案]太原小升初数学天天练2011.12.19
太原奥数网原创
2011-12-20 15:28:19
太原奥数网小升初天天练栏目每日精选语文、数学、英语试题各一道。这些试题都是精选出来适合小升初学生练手的。
※ 本试题由太原奥数网名师精选、解析,以保证试题质量。
※ 每周末,我们将一周试题汇总为word版本试卷,您可下载打印或在线阅读。
※ 每道题的答案将在次日公布!
太原小升初数学天天练答案
1、

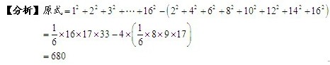
2、

原题查看:太原小升初数学天天练2011.12.19
相关阅读:

