Image Modal

天津
天津奥数网

天津站
奥数网

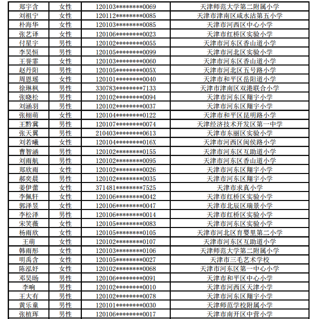
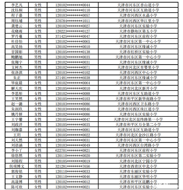
2018年天津耀华滨海学校小升初学生报名信息公开

家长帮论坛天津站 2018-06-12 17:20:46

  详细名单如下:

相关推荐

点击查看更多
重点初中
首页 导航