Image Modal

天津
天津奥数网

天津站
奥数网

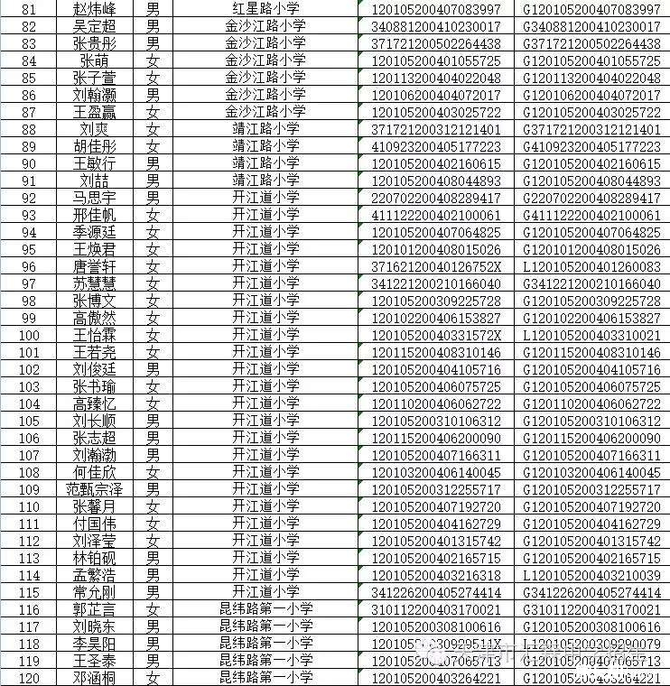
2016天津汇森中学小升初招生面谈名单及相关通知(2)

天津奥数网 2016-06-23 17:15:37

首页 上一页 下一页 尾页

相关推荐

点击查看更多
重点初中
首页 导航