2013天津希望杯培训题100题勘误
考希望杯的同学都知道希望杯官方的100题是相当强大的,而且今年的重大改革中有一条“一试有20%~30%的题目源自希望杯100题”,
所以大家的希望杯100题必须要做两遍或两遍以上。
100题中部分年级中的部分题目有误,大家可以及时修改。
小学五年级培训题勘误:
(1)21题
原答案补上:
8=(1+1)×(1+1)×(1+1),当这个数有三个质因数时,这个数是30,42,66,78,102,114,138,174,186,70,110,130,170,190,154,182,105,165,195。所以满足题意的数有31个。
(2)39题
原答案
“(2013-2)÷3=670……1,所以,经过2013次操作后,圆上的5个数是3,3,0,0,0”
改为
“(2013-1)÷3=670……2,所以,经过2013次操作后,圆上的5个数是3,0,3,0,0”。
(3)40题答案
原答案“情况(2)中满足题意的数对有16对”,
改为“情况(2)中满足题意的数对有15对”。
(4)51题答案
原答案“只能是1+2+5=8,即这3个数字分别是1,2,5”,
改为“可以是1+2+5=8,或1+3+4=8,即这3个数字分别是1,2,5或1,3,4”。
小学五年级培训题勘误:
六年级培训题:
(1)第74题答案:
原答案“……共3个.故图中共有8+7+1+3=19个.”
改为“……,9+10+11+1+2+6,共4个.由七部分组成的三角形:9+10+11+3+4+7+8,仅有1个.故图中共有8+7+1+4+1=21个.”
初中一年级培训题第65题勘误:
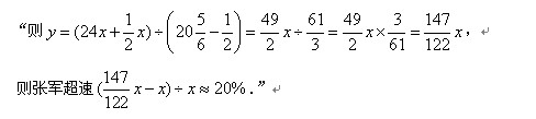
原答案:

改为:

*本文作者深圳分校陈明秀老师,如有疑问,与本站无关。
相关推荐:

