Image Modal

苏州
苏州奥数网

苏州站
奥数网

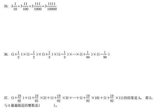
2018苏州小升初计算技巧强化训练6

苏州家长帮 2017-12-31 19:14:19

2018苏州小升初计算技巧强化训练

相关推荐

点击查看更多
重点初中
首页 导航