Image Modal

苏州
苏州奥数网

苏州站
奥数网

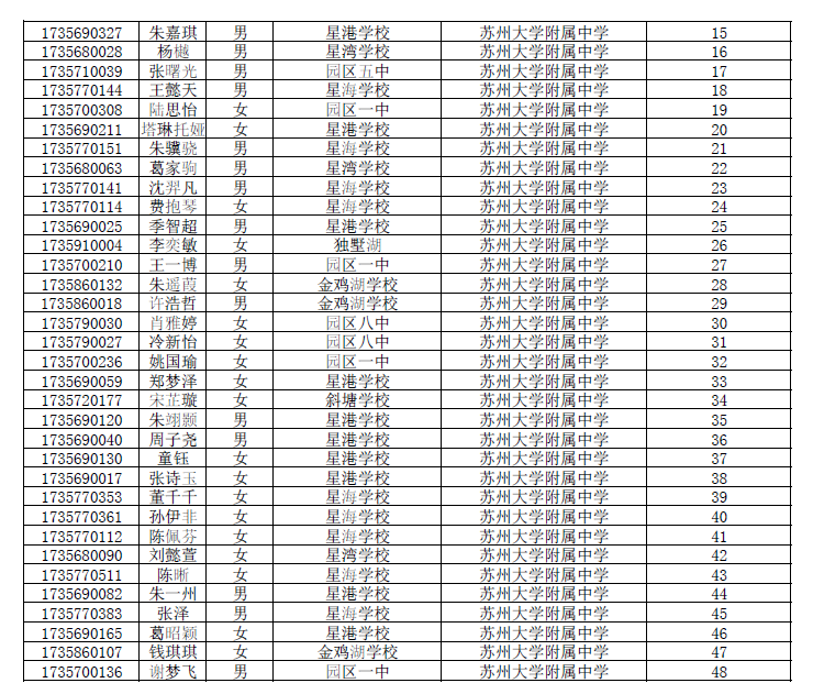
2017年苏大附中自主招生预录取名单公布

苏州家长帮论坛 2017-06-29 14:58:16

2017年苏大附中自主招生预录取名单公布

相关推荐

点击查看更多
重点初中
首页 导航