Image Modal

苏州
苏州奥数网

苏州站
奥数网

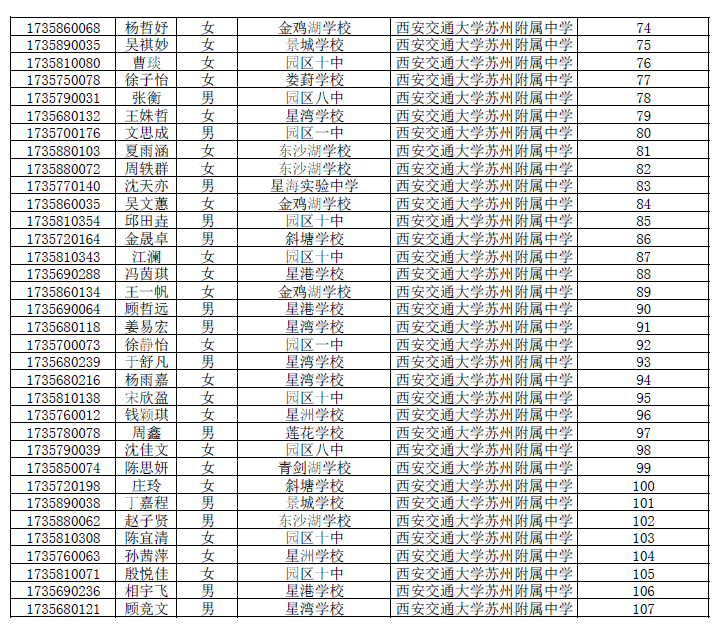
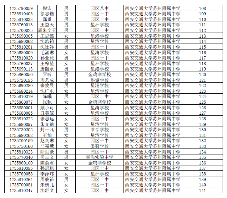
2017西交大苏州附中自主招生预录取名单(2)

苏州家长帮论坛 2017-06-29 14:55:23

首页 上一页 下一页 尾页

相关推荐

点击查看更多
重点初中
首页 导航