Image Modal

苏州
苏州奥数网

苏州站
奥数网

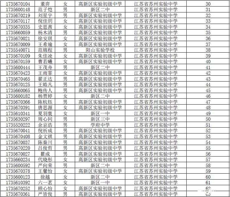
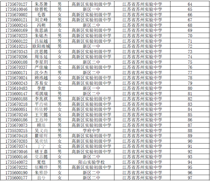
2017江苏省苏州实验中学自主招生预录取名单

苏州家长帮论坛 2017-06-29 14:47:57

2017江苏省苏州实验中学自主招生预录取名单

相关推荐

点击查看更多
重点初中
首页 导航