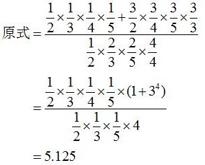
2013年希望杯数学竞赛复赛六年级每日一练1答案 苏州奥数网 2013-04-09 13:42:16 繁分数试题答案: 更多希望杯试题资讯,请访问希望杯频道,点击进入 编辑推荐 2013年第二十四届希望杯初一一试试题及答案 2013年第十一届希望杯六年级一试试题 2013年希望杯数学竞赛试题每日一练汇总 首页 上一页 下一页 尾页
相关推荐 小学1-6年级作文素材大全全国小学升初中语数英三科试题汇总小学1-6年级数学天天练小学1-6年级奥数类型例题讲解整理汇总小学1-6年级奥数练习题整理汇总小学1-6年级奥数知识点汇总小学1-6年级语数英教案汇总小学语数英试题资料大全小学1-6年级语数英期末试题整理汇总小学1-6年级语数英期中试题整理汇总小学1-6年级语数英期中试题整理汇总 点击查看更多