Image Modal

苏州
苏州奥数网

苏州站
奥数网

2013苏州初一年级希望杯数学备战题19答案

苏州奥数网 2013-01-30 10:51:55

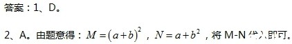
答案

首页 上一页 下一页 尾页

相关推荐

点击查看更多
重点初中
首页 导航