2013苏州初一年级希望杯数学备战题17
苏州奥数网
2013-01-23 16:46:53
摘要:2013年苏州初一年级希望杯数学竞赛每日一题开始了,苏州奥数网将整理e度名师健美老师所出的初一年级希望杯每日一练,每天一个知识点,做好初一希望杯准备工作。 (点击查看完整备战试题)
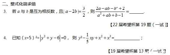
试题:

答案见下一页
摘要:2013年苏州初一年级希望杯数学竞赛每日一题开始了,苏州奥数网将整理e度名师健美老师所出的初一年级希望杯每日一练,每天一个知识点,做好初一希望杯准备工作。 (点击查看完整备战试题)
试题:

答案见下一页